全国统一服务热线
158-0667-8111

1 概述
1.1 主要用途
液体粘性软起动装置可广泛地用于煤矿井下带式输送机和起重运输机械、工程机械、军工机械、风机、水泵等机械产品的软起动、调速和软制动过程;能很大地改善和提高机械设备的起动、运行和停车性能,很好地消除对电气和机械设备的冲击,实现主机设备过载自动保护、功率均衡等功能,提高机械的工作效率和工作可靠性,节省能源,降低设备使用成本。
1.2 液体粘性软起动系统的选用型号含义

1.3 主要技术性能
YN型液体粘性软起动装置,很好地解决了带式输送机的起动问题,具有以下优点:
(1) 能够使大功率电动机空载起动,以减小对电气和机械的冲击;
(2) 解决了带式输送机的重载起车问题;
(3) 液体粘性软起动装置能够提供可调的、平滑的、无冲击的起动力矩;
(4) 根据输送机的特点,可以设定起动曲线;
(5) 正常工作状态下,系统工作效率高,功率损耗小;
(6) 与电动机具有良好的匹配特性,能充分利用电动机的大力矩上限;
(7) 需要时可以实现多电动机驱动功率相互平衡;
(8) 可以实现输送机的无级调速,以满足不同的工作需要;
(9) 在输送机过载时能实现自动过载保护功能;
1.4 工作条件
(1) 工作环境温度不大于+40℃;
(2) 无显著摇摆和剧烈振动、冲击的场合;
(3) 环境内无足以锈蚀金属的气体和尘埃;
(4) 无滴水,淋水的场合。
(5) 适合于煤矿井下及其他有防爆要求的场合。
1.5 对环境影响
液体粘性软起动装置采用了先进的设计方法和制造工艺,工作可靠,工作噪声小,工作效率高,是节省能源,降低消耗的高科技产品。
2. 结构特征与工作原理
2.1系统组成
液体粘性软起动装置由机械系统、液压控制润滑系统和配套电控系统三部份组成。
2.1.1机械系统结构及工作原理

液体粘性软起动装置是利用液体的粘性即油膜剪切力来传递扭矩的,其结构如图1所示,其结构主体由主、从动轴,主、从动摩擦片,控制油缸、弹簧、壳体及密封件等组成。当主动轴带动主动摩擦片旋转时,通过摩擦片之间的粘性流体形成油膜带动从动摩擦片的旋转,改变控制油缸中的油压大小可以调节主、从动摩擦片之间的油膜厚度,从而改变从动摩擦片输出的转速和扭矩的大小,实现带式输送机各项驱动要求和可控软起动功能。
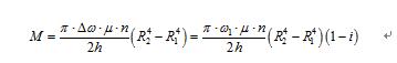
液体粘性软起动系统的传矩方程为:

(1)式中 ω1——主动摩擦片的角速度,rad/s;
μ——流体的动力粘度,Pa•s;
n——油膜数;
h——油膜厚度,m;
R2——主、从动摩擦片的接触面外径,m;
R1——主、从动摩擦片的接触面内径,m;
i——主、从动摩擦片的旋转速度比。
由式(1)可知,对于一定结构的液体粘性软起动装置,其输出扭矩与主、从动摩擦片的角速度差△ω成正比,与油膜厚度h成反比;所以通过调节油膜厚度可以方便地调节输出扭矩和角速度差,从而达到调速目的。
2.1.2电气控制系统方案
由于大功率带式输送机多采用多机驱动方式,因此我们设计多台电机共同驱动的电气综合控制系统,电气控制系统采用配套的矿用防爆电控装置。其主要控制内容有:通过输送带速度与液体粘性软起动装置输出转速比较,来决策输送带与驱动滚筒之间是否打滑和超速保护;通过计算机决策对液体粘性软起动装置的比例阀电流进行闭环控制,实现多机间的功率平衡调整。
2.1.3 液压控制润滑系统方案
液体粘性软起动装置的液压系统主要由润滑系统与控制系统组成,其中润滑系统的作用是当输送机进行软起动或进行调速时强制冷却摩擦片间产生的热量,保证摩擦片之间形成剪切油膜;而控制系统则进行摩擦片间间隙的调整,从而改变油膜厚度,使得输出速度根据需要而变化。其液压系统的组成如图2所示,主要由粗滤油器1、润滑泵电机2、润滑泵3、大流量单向阀4、压力表5、温度传感器6、压力传感器7、精滤油器8、阀9、节流阀10、单向阀11、控制泵12、控制泵电机13、电液比例阀14组成。

Copyright © 2024 泰安市德众矿山机械有限公司 版权所有 鲁ICP备19061325号